Menu

Severe Defoliation of Vegetative Maize Plants Does Not Reduce Grain Yield: Further Implications with Action Thresholds

Severe Defoliation of Vegetative Maize Plants Does Not Reduce Grain Yield: Further Implications with Action Thresholds

Carlos A. Blanco , Gerardo Hernandez , Kevin Conover , Galen P. Dively, Urbano Nava-Camberos , Maribel Portilla , Craig A. Abel , Paul Williams, and William D. Hutchison

Abstract. It is commonly perceived that early defoliation of maize (Zea mays L.) is a significant risk for maximum grain yields. However, several studies designed to assess biotic and abiotic factors that reduce leaf area reported contrasting results. When maize suffers defoliation before developing its seventh leaf (V7 stage), plants can often compensate without impacting grain production. Seventy-five percent of 20 reviewed publications that offer empirical information indicated severe defoliation did not affect maize yield when plants were less than V7. We present field results for six maize hybrids, lines, and a landrace with severe (75%) defoliation one, two, or three times before reaching V7, in Maryland. Results showed that despite multiple, severe defoliation, there were no significant differences in grain yield (P > 0.05). Despite seven amounts of defoliation, yields for each defoliation amount did not differ from yields for intact plants. One early defoliation at V2 significantly produced more grain than did the nondefoliated check (P < 0.05). Results confirm the ability of maize to compensate or over-compensate for vegetative-stage defoliation. Results are also discussed in relation to recent reviews of previous studies. It is imperative to reconsider unnecessary recommendations to apply insecticide against maize defoliators when maize plants have yet to develop the seventh leaf.

Introduction

Maize (Zea mays L.), the most cultivated and productive cereal crop in the world (FAOSTAT 2022), is defoliated by several insect pests, with yield loss by feeding on foliage, ears, or both (Hutchison and Cira 2017). Black cutworm, Agrotis ipsilon (Hufnagel), is a sporadic and early-season pest globally (Capinera 2007, Blanco et al. 2016). In the past 6 years, fall armyworm, Spodoptera frugiperda J.E. Smith, has become one of the most widespread, damaging pests of maize (FAO 2022, Kenis et al. 2022, Mendesil et al. 2023). About 200 million hectares are currently threatened by this invasive species (FAO 2022). Dominant control methods for fall armyworm and many early pests continue to rely on applications of synthetic insecticides, and genetically engineered maize that produces proteins from the bacterium, Bacillus thuringiensis (Purdue University 2009; Blanco et al. 2010, 2016; Capinera 2020). Damage by fall armyworm on maize leaves is visible, and defoliation might result in less grain yield. For decades, 20% of plants damaged by fall armyworm has been recommended as an “action threshold” without thorough methodological assessment between early foliar damage and presumed impact on yield (Prasanna et al. 2018, ICAR-IIMR 2019). Natural black cutworm, fall armyworm, and mechanical defoliation studies confirmed effect of the pests, as well as hail damage on grain production (e.g., Overton et al. 2021). Several studies using a variety of maize hybrids and genetic lines showed that when defoliation occurred at early stages of maize development (<V4), yield was not negatively or consistently impacted (Brown and Mohamed 1972, Mahmoodi et al. 2008, Klein and Shapiro 2011, Battaglia et al. 2019, Thomason and Battaglia 2020, Blanco et al. 2022). However, in a few studies, grain loss of <20% occurred (Hanway 1969, Harrison 1984, Chisonga et al. 2023). Other studies attempted to quantify natural herbivory by fall armyworm during plant stages V1-V6; some varied considerably, including 12100% reduction at different plant development stages (Hruska and Gladstone 1988, Willink et al. 1993, Deshmukh et al. 2020, Sunil Kumar et al. 2020). Others found no significant or negative effect on yield (Morrill and Greene 1974, Cruz and Turpin 1983, Buntin 1986, Andrews 1988, Marenco et al. 1992, Kumar 2002, Lima et al. 2010, Abendroth et al. 2011, Dal Pogetto et al. 2012, Babendreier et al. 2020, Thomason and Battaglia 2020, Harrison et al 2022, Chisonga et al 2023). Crookston and Hicks (1978) reported that as much as 100% defoliation of V1-V4 maize increased grain production, suggesting compensatory plant response (Showers et al. 1979, Pedigo et al. 2021). Reviewing the inconsistencies, Overton et al. (2021) concluded that defoliation-yield relationship during early plant growth was inconsistent and required further study. Black cutworm, when it produces minimal damage to the maize apical meristem but much defoliation without reducing plant stand, has not had consistent effect on maize yield (Levine et al. 1983, Whitford et al. 1989, Oloumi-Sadeghi et al. 1992).

Use of insecticide to protect young maize from fall armyworm has had mixed results. According to Deshmukh et al. (2020), some applications during the early vegetative stage of maize can double grain yield. However, most studies found no significant increase in yield (Morrill and Greene 1974, Lima et al. 2010, Sunil Kumar et al. 2020, Harrison et al. 2022). Nevertheless, growers worldwide use insecticide to control fall armyworm larvae in early vegetative stages (V1-V4) (Blanco et al. 2010, 2014, 2016, 2022; ICAR-IIMR 2019; Chimweta et al. 2020). Insecticide and application are expensive. In Mexico alone, economic burden and environmental impact is more than 3,000 tons of insecticide active ingredient per year to treat seven million ha of maize with one to three applications against fall armyworm (Blanco et al. 2010), and a third of that amount against black cutworm (Blanco et al. 2014). The recent global invasion of fall armyworm increased insecticide use, production cost, and environmental impact. Maize in Africa (41 million ha), Asia (66 million ha), Americas (72 million ha), Australia (0.06 million ha), and perhaps soon in Europe (18 million ha) could be treated with insecticide (Hruska 2019, Yang et al. 2021) against a pest unlikely to reduce grain production when damage occurs in young maize plants. One to three insecticide applications commonly made during early maize development (Blanco et al. 2014) would increase production costs by more than $75/ ha (Blanco et al. 2022). If maize growers produce a global average of 5.8 ton/ha (FAOSTAT 2022), and the current price per ton is ~$260, economic justification of an application must be associated with yield loss of ~300 kg/ha. Smallholder farmers, who make up most of the producers in the world (Prasanna 2011), have a limited production budget and find it difficult to invest in pest control, fertilizer, or better seeds (Blanco et al. 2022, Chisonga et al. 2023). The last two expenditures reflect decisions before pests appear, while the unpredictable damage of fall armyworm and other pests might not justify even a single application of insecticide. Hruska (2019) assessed economics of maize smallholders, arguing they should spend at most US$8.00/ha on pest control. However, risk-averse crop consultants sometimes recommend spraying when 5 to 10% maize plants are damaged (Prasanna et al. 2018, ICAR-IIMR 2019), while researchers recommend an action threshold of 2040% (Bessin 2019, du Plessis et al. 2020, Chisonga et al. 2023, Tejeda-Reyes et al. 2023). The recommendations need to be re-evaluated based on empirical data.

In this paper, we expanded on our recent research, to present results of a field study assessing the impact of multiple defoliation events and 75% defoliation per event for several commonly grown maize hybrids, lines, and a landrace. We also examined peer-reviewed articles that provide empirical evidence to further characterize the relationship among fall armyworm, and black cutworm herbivory, and artificial defoliation (<V6 stage) and maize yield loss.

Materials and Methods
Three hybrid cultivars (Hipopótamo, P0506AM, and SYN750 y), two lines (F1, and San Lorenzo), and one landrace (Qro 1) were planted at 74,165 seeds per hectare in plots of eight (0.75-m center) rows, 7.6 m long with 3-m alleys between replicates on 12 May 2022, in a randomized complete block arrangement of four replicates at the University of Maryland Research Experiment Station, Beltsville, MD.

Plots were managed with a side-dress application of 45 kg/ha of nitrogen at planting, and 112 kg of N and 22 kg of sulfur application per hectare. Weeds were controlled with preemergence, tank mix application of glyphosate, atrazine, pyroxasulfone, and mesotrione before maize emergence. Insect pests were scarce during the experiment; therefore, no insecticide was applied. The experimental field received 13.7, 6.6, 10.6, 18.2, 6.4, and 8.3 cm of monthly precipitation between May and October. Drip irrigation was provided when needed.

At V1-V2 developmental stage (13 days after planting), 75% of the foliage of rows 1, 2, 3, and 4 of each treatment/replication was cut with scissors. At 25 days after treatment, V3-V4 developmental stage, we cut 75% of the foliage in rows 2, 3, 6, and 7. At 34 days after planting (V5-V6) 75% of the foliage was cut in rows rows 3, 4, 7, and 8. Row 5 without foliage removed was the check. At harvest (172 days after planting, ~20% grain moisture), a final number of plants per plot was recorded, and <30 ears randomly selected were removed by hand in each row. Ears were initially weighed in the field during harvest, and a subsample of five to 10 ears per plot was kept for 45 days at 12-19°C to adjust for moisture loss. Analysis of yield produced for different treatments was done by one-way ANOVA once differences in yield by maize lines were shown to have no interaction with cutting times.

In a separate field of the experiment station, consecutive maize plants of cultivar Pioneer 1289yhr were defoliated at 9 days after planting as 1) 50% foliage cut with scissors; 2) 50% foliage removed by using a paper puncher to punch 0.6-cm holes in leaves; and 3) maize plants with intact foliage. Forty-five plants received treatment 1, 2, or 3 in a row. The procedure was repeated in two adjacent rows. All ears of rows 1, 2, and 3 were harvested at 163 days after planting and left to dry as described previously. Grain of ear was weighed, and the number of seeds counted in a subsample of 100 g per ear were used to calculate kernels per plant. ANOVA was used to test the treatments compared with the check. All data analyses, graphs, and results were produced using R statistical language and packages (R Core Team 2023). To review literature on fall armyworm and lepidopteran defoliation studies on maize, we accessed recent review articles (e.g., Overton et al. 2021) and searched Agricola and Google Scholar databases. Although some fall armyworm-related studies focused on sorghum (Sorghum bicolor (L.) Moench) and other crops, we limited our scope to maize.

Results and Discussion
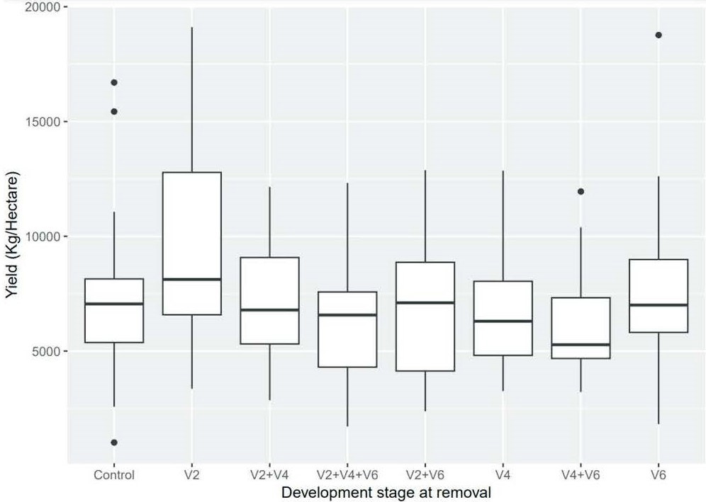
Regardless of whether hybrids or open-pollinated varieties (OPVs, landraces) were tested, defoliation to 75% leaf removal before the V7 development stage did not significantly affect grain yield (P > 0.05) (Fig. 1). In a previous study, we reported 66% of the foliage at different times did not affect grain yield (Blanco et al. 2022). Measuring the effect of more defoliation (75%) in hybrids, lines, and a landrace showed herbivore control during <V6 maize did not protect yield but increased production costs and environmental impact. In this independent and more extensive field experiment, we found no effect of artificial defoliation of young maize on grain yield. Maize defoliation in the two reports greatly exceeded the highest score (9) in the Davis scale (Davis et al. 1992).

Mean grain yields of plants fig 1 Maize
Fig. 1. Mean grain yields of plants from six maize lines with 75% of foliage removed at three development times. F = 2.192, p = 0.0369 for sample size n = 24.

Maize pests such as fall armyworm do not typically cause severe (75%) defoliation, nor do they repeat attack 11-13 days later. Our experiment simulated severe damage - ¾ of maize foliage removed one, two, and three times in 20 days – that did not reduce grain yield. Yield did not change in response to treatments compared to the check. One defoliation at V2 increased yield compared to cutting three times at V2+V4+V6 (Tukey’s p adjusted = 0.046) and twice at V4+V6 (Tukey’s p adjusted = 0.02); these were the only significant differences (see Fig. 1). Although Levene’s test showed no differences between variances (p = 0.24), large variation in V2 suggested different maize hybrids / lines / landrace influenced results. This was confirmed by ANOVA for yield by hybrid / line / landrace (p << 0.001) and shown in Fig. 2; however, two-way ANOVA indicated no interaction between line and treatment (P = 0.54). Lack of interaction allowed effect of treatment alone to be analyzed.

Early defoliation has increased yield due to compensatory response of some crop species (Pedigo et al. 2021). The apical meristem of maize remains below or at ground level before the plant reaches V6 (Buntin 1986, Fortin et al. 1994, Blanco et al. 2022); maize can compensate for foliar damage before whorl stage. Even defoliation at V6 did not affect yield (Fig. 1).

Results using artificial defoliation could have an effect similar to foliar herbivory. We found no evidence that fall armyworm or other maize defoliators such as black cutworm affect plants by mechanisms other than leaf herbivory. Because artificial defoliation can produce a homogeneous effect in each cut plant, it might be a better method than summarizing erratic damage effects of plant pests on foliage. Accumulation of defoliation during gradual herbivory under natural conditions results in less area loss over time than does immediate defoliation (Blanco et al. 2022).

Beltsville Maize Fig 2
Fig. 2. Average yield of three hybrids (Hipopótamo, P0506AM, SYN 750 y), two lines (F1 and San Lorenzo), and one maize landrace (Qro 1) under different defoliation regimes. F = 26.49, p << 0.001 ***, with sample size n = 32.

Severe defoliation also did not affect the number of plants per maize line (P = 0.21, Fig. 3). However, artificial defoliation of 75% of maize leaves at V3 and V5 significantly reduced the yield of two hybrids in a study by Santos and Shields (1998). This might be because of genetic differences in the hybrids compared to those in our study, and/or differences in defoliation methods.

Using insecticide to protect early maize from pests has produced inconclusive effects (Oloumi-Sadeghi et al 1982, Kumar 2002). Control of fall armyworm and black cutworm with insecticide may be simultaneously reducing other early maize pests (Blanco et al. 2014, Oliveira et al 2022). Insecticide seed coating and spray to prevent pest early damage can affect multiple pests (Harrison et al. 1980, Evans and Stanly 1990, Marenco et al. 1992, Wilde et al. 2007, Jaramillo-Barrios et al. 2020); therefore, the effect of reduction of herbivory by a single pest might be the effect of insecticides on multiple pests.

Maize Fig 3 Beltsville
Fig. 3. Final plant count of six maize hybrids, lines, and a landrace. F = 1.426, p = 0.196 for sample size n = 28.
Beltsville Maize Fig 4
Fig. 4. Grain weight (grams, left; F = 1.22, p = 0.30, n = 45) and number of seeds (right; F = 2.01, p = 0.14, n = 45) per ear from maize hybrid Pioneer 1289yhr with three types of defoliation.

To assess the effect of different artificial defoliation, 50% of leaves were removed by cutting with scissors in one plant and 50% by punching holes in leaves of another plant that produced leaf damage similar to fall armyworm (e.g., ragged leaf feeding injury). We found no significant difference between the two types of defoliation, nor when compared to the nontreated check (p = 0.23 and p = 0.14) (Fig. 4).

Beltsville Maize Table 1

Although the economic injury level by early defoliators of maize will be better understood and validated in multiple countries using different cultivars (Pedigo et al. 2021), it is important to realize that few studies examined yield impact of early defoliation time (VE-V6) in maize. This is true for feeding studies with fall armyworm or black cutworm and mechanical defoliation (Overton et al. 2021, Blanco et al. 2022). However, following our review of 21 studies summarized in Table 1, most (75%) did not find a significant effect on crop yield by feeding damage by fall armyworm or black cutworm, nor did most studies using artificial defoliation. In a greenhouse study of damage by fall armyworm feeding on maize, direct and indirect yield impacts were observed (Chisonga et al. 2023); however, using Structural Equation Models (SEM), damage by leaf feeding explained less than 3% of the variation in yield. This might be useful in explaining results of previous studies on maize.

Considering lack of significant differences in maize yield in our study to 75% defoliation, as well as most studies reviewed (Table 1; Overton et al. 2021, Blanco et al. 2022) there is substantial evidence that in many scenarios, insecticide use for early season infestation by fall armyworm can often be avoided. Expenditures on unnecessary pest control of early defoliators could be better used during the reproductive growth stage to protect developing ears and thus direct benefits toward grain yields. Economic or action thresholds for reproductive stage maize (R1) should be examined for more hybrids and lines.

Funding decisions by farmers for managing fall armyworm might be better allocated for judicious application of fertilizer, or use of cover crops and other cultural practices to increase plant vigor (Chisonga et al. 2023). Longer term research investments for specific regions also should continue to examine the impact of biological control agents, expedite improved maize genetics, including use of maize hybrids, or a shift to medium or longer maize maturities that might allow plants to recover and compensate from early feeding damage by fall armyworm (Kenis et al. 2022). Such changes in management of fall armyworm are particularly important for millions of smallholders where invasions by fall armyworm continues, and in many cases, farmers are not entirely familiar with the ecology and IPM options to manage fall armyworm (Blanco et al. 2014, Kenis et al. 2022). Not using insecticide during early vegetative growth (VE to whorl) allows new or introduced parasitoids of fall armyworm to thrive, expand their impact (Kenis et al. 2022), and support more effective conservation biological control. This is important for management of fall armyworm in developing and industrial countries where more multi-faceted IPM is necessary to not only avoid unnecessary insecticide use, but also minimize ongoing risk of fall armyworm resistance to insecticides (Gutiérrez-Moreno et al. 2019, Hruska 2019, Harrison et al. 2022, Kenis et al. 2022).

 

Back to Beltsville Roots in Research